同济大学电子与信息工程学院控制科学与工程系
许力成 李文超 肖辉
关键词:智慧灯杆 智慧交通 遗传算法 信号灯配时
随着经济的高速发展,道路照明建设也在同步的飞速发展,道路照明系统的智能化程度也愈来愈高。作为城市照明中不可或缺的载体,灯杆成为了智慧城市建设的重点和突破点,通过集成在智慧灯杆中的各种智能设备,同时因其分布广泛、带有市电[1]等特点,成为智慧城市建设中的重要感知终端载体,是智慧城市落地的最佳切入点。在2020年3月,中共中央政治局常务委员会召开会议提出加快5G网络、数据中心等新型基础设施的建设进度。2020年5月22日,《2020年国务院政府工作报告》[2]中提到,重点支持“两新一重”建设,即新型基础设施建设、新型城镇化建设、交通、水利等重大工程建设;5G基站、车联网等新技术基础设施以信息基础设施类别被包含在新型基础建设的内容当中。
据数据显示,道路照明智能化的发展,为缓解交通拥堵、节能减排和减少交通事故发生率做出了巨大的贡献,以欧洲的发展经验为例,欧洲的车路合作系统使得交通事故的发生率降低了60%~70%[3],但我国的智慧交通发展尚处于起步阶段,2018年我国的机动车保有量占全世界的15%,但我国的交通事故发生次数占全世界的25%[4],连续十年以上占据世界首位,据高德地图交通大数据监测全国50个主要城市显示,2019年我国的汽车保有量为2.6亿辆,其中重庆市路网高峰拥堵程度最高,高峰行程延时指数为1.964,平均车速为24.95km/h[5][6]。因此,发展智能化道路照明的工作刻不容缓,同时智慧交通能够为大数据、人工智能、信息技术、自动化技术等应用提供广阔的发展平台,成为科技强国路上的重要砖石,大大提高国家的科技竞争力。
本文以智慧灯杆技术为基础,设计其功能模块以及数据流动方向;并基于该数据流动方向制定合理的智慧灯杆交通信号灯上的控制策略,通过对城市路网内信号灯红绿时长的调控,达到缓解城市交通压力、使城市交通更流畅的效果。
1.1 智慧灯杆的功能模块设计
随着经济和科技的飞速发展,通信基站、监控摄像头、LED显示屏等城市中的基础设备需求愈来愈大,而以照明功能为主的灯杆,因其带有市电、分布广泛、耐用性久等特点[7],成为了集成这些基础设备的首要选择。在物联网兴起的时代里,灯杆已经不仅仅是照明设施,更是“智慧城市”[8]中基础设施的重要载体,通过集成城市中的各类基础设备,达到如同神经末梢网络一般的效果对城市中的各类信息进行采集、监测、发布、传输[9][10],其功能设计可包括以下各个模块:通信基站、智慧照明、气象监测、环境监测、颗粒喷雾、公共广播、视频监控、信息屏、一键求助、充电桩等功能模块。
1.2 数据流动模式
设备层的大部分感知设备通过智能网关与平台进行信息的双向传递,其中智能网关提供智能设备的代理功能;设备层的部分感知设备宜允许直接与网络层进行信息的独立双向传递,传递方式可分为有线传输与无线传输。
平台层与网络层可进行数据的双向传输,管理平台应首先能对网络层上行传输的用户、日志、数据等进行统一的管控,并通过网络层传输的数据对智慧灯杆和其挂载设备进行实时在线的监测。
平台层与决策层应可进行数据的双向传输,中央决策机构应拥有最高数据获取权限;机关单位依照其被中央决策机构授予的权限获取相关数据,他机关单位之间可以进行数据的传输,以此为中央决策机构提供更为合理的决策建议。
决策层与应用层可以建立双向的数据传输,决策层可以利用应用层取得的数据来帮助进行更为实际的决策;同时决策层产生决策后,将通过应用层和智慧灯杆管理平台来进行决策的执行。
设备层的内部部分设备可进行局部的数据传递,杆与杆之间的智能网关可组成局域网,也可以通过有线或无线方式通信,部分终端可通过智能网关进行局域网的互联。
智慧灯杆系统的数据流动模式可如下图所示:

图1 智慧灯杆系统数据流动示意图
本节利用上节中设计的智慧灯杆功能模块以及数据流动架构,对道路照明控制智能化系统模型进行分析,利用智慧灯杆上的各类感知设备对交通车流数据进行采集,结合软集合理论以及信息量权数法对城市内路网进行交通子区划分,设计合理的交通控制模型并给予可行的模型求解方法,采用区域信号控制的控制策略对路网内的交叉口信号灯进行分级分区控制。
2.1 交通路网子区划分
2.1.1 交通路网子区划分的目的和意义
进行交通路网子区划分[1]的最主要目的时为了便于在路网的局部实施灵活的协调控制方案。一方面从保证交通控制系统在运行时的稳定性和可靠度方面进行考虑,当交通控制系统将城市路网划分为几个具有一定相关性的交通控制区域或是相对独立的交通控制区域,若某一区域的控制系统处于瘫痪状态无法运行时,不会使整个城市的交通信号控制系统无法正常运行。
另一方面从智能化道路照明系统的运行效率来考量,交通控制中心管辖的范围不应当过于大;如若控制范围过大将导致数据中心在进行数据处理时数据的处理量过大,从而影响到对交通路网的控制效果也不够理想。但如若按照一定的控制策略,使多个相邻相关的交叉口能够依据实时的交通状况自动合并成一个控制子区,同一控制子区采用基本相同的控制方案,就可以尽量地避免因固定地划分交通路网子区导致的配时方案逐渐“老化”的现象[11]。
2.1.2 软集合理论
软集合理论(softset)是1999年由俄罗斯学者Molodtsove提出的一套用于解决不确定性问题的理论[12],相较于概率论、模糊分析法、粗糙集等传统用于解决不确定性问题的数学理论,软集合理论在处理不确定性问题方面具有得天独厚的优势。定义(F,E)是论域上的一个软集合,当且仅当F是E到U的所有子集的一个映射。但在现实情况中各个特征的权重占比可能是不同的,因此我们需要借用信息量权数法来确定各个指标的权重。
2.1.3 信息量权数法
确定指标权重的方法是多种多样,比如因子分析法[13]、相关系数法、专家排序法、算术平均组合赋权法、模糊数学判断法等[14],信息量权数法是基于指标数据所包含的信息量来确定指标权重的一种方法,这种方法根据评价指标所包含的分辨信息来确定权重,采用变异系数法,变异系数越大,赋予的权重也就越大。
假设某一个评价体系中有m个指标,假设指标有n个样本,设
为指标
的平均值,
为指标
的标准差,那么该指标的变异系数CV=
,将CV作为各个指标的权重得分,再经过归一化的处理,即可得到信息量的权重系数。
2.2 模型建立
2.2.1 目标函数
在交通控制中,为了尽量避免交叉口上几个方向的车流发生冲突,保证交通流的顺畅和车辆的安全,通常会采用分时通行的方法,即在一个信号周期的某一个时间段,交叉口信号灯为绿色,对某一个方向上的或某几个方向上的车流给予其通行权。在一周期内,交叉口上某一支或几支车流获得通行权的方式称为相位。以下图作为示例,其中箭头方向即为车流运动方向:

图2 四相位交叉口示意图
如图2所示,从左至右依次是第一、二、三、四相位,其中第一相位为东西方向的直行与右转;第二相位为东西方向的左转;第三相位为南北方向的直行与右转;第四相位为南北方向的左转。该循环方式即为一般情况下的四相位车流运动方向图。
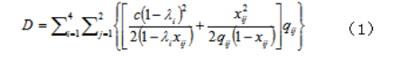
我们基于控制交叉口各相位绿灯信号时长的方法,采用1966年由Webster应用模拟的方法开发研制出的在未饱和情况下的车辆平均延误时间的计算公式,即Webster方程[15][16]作为目标函数进行优化,以标准四相位交叉口为例:

式中:
为信号周期长,单位为
为绿信比:为第
相位第
进口道的车流量,单位为
为第
相位第
流向上的车流饱和度,目标函数即为
。对一个典型的4相位交叉口,可以将
作为优化变量,即第1、2、3相位的有效绿时
在4周期固定情况下第4相位的有效绿时即为
,其中是事先给定的相位变换损失时间,单位为
。
2.2.2 约束条件
对于约束条件,对于周期
,由Webster最佳周期公式分别对子区内每一交叉口进行最佳周期时间的计算:
;其中
即为上文提到的损失时间,
,
是第
相位第
流向上的饱和度;得到各交叉口的最佳周期后取最大周期最为这一子区的最佳周期时间。对于变量
应规定其不小于最小有效绿时;同时不大于
;即
;除此之外,有效绿时应当足够长以免交叉口的进口道中出现了拥堵状况,因此应当设定:

由于车辆的起步时间和停止时间相比于整体绿时时长过小且较难估算,公式2将绿时与有效绿时进行等同,式中
为周期,
为实际数据中第相位中各进口道的最大饱和度
为人工设定的最大饱和度,一般可取0.9~0.95[17],以保证交叉口进口道车流的顺畅程度。
2.3 模型求解
本文中采用遗传算法[18]对智慧灯杆上的交通信号进行配时优化,本课题对遗传算法进行了一定的改进,由于对交通灯的绿时信号参数具有较多的约束要求,对于在经过遗传操作后不符合约束条件的个体采用灾变机制,即将不符合条件个体全部删除并重新随机产生新的个体,并对新个体重新进行
遗传操作直至这一代的全部个体都符合约束条件时,再进行适应度计算以及判断是否达到算法收敛原则。改进后遗传算法的流程图如下:

图3 改进后遗传算法计算最优信号配时
本文仿真案例研究区域主要道路由四平路、赤峰路、玉田路、大连西路、中山北一路、东体育会路、曲阳路、密云路等路段及其周边地区组成。将卫星云图中的交叉口及流入流出口采用红色数字编号标定,道路路段采用黑色数字标定。将卫星云图转化为易于分析的形态,在交通控制研究过程中我们通常将其转化为路网图的形式,具体抽象图如下图所示:

图4 研究区域路网抽象图
由于交叉口的关联性受到多种因素影响,综合动态和静态因素[19]两方面,以两交叉口之间的距离、最佳信号周期、交通流量以及上下游交通流量的离散程度作为子区划分的影响因子集合[20],其具体叙述及参数、计算方法如下:(1)交叉口距离影响因子:交叉口之间距离反映了车辆在行驶过程中从上游交叉口到下游交叉口之间道路能够容纳车辆的多少。当两个交叉口的距离较小,两者进行协调控制是比较合适的;反之则不适合进行协调控制;一般情况下通常两个交叉口距离在800m范围内适合将二者划分在同一子区进行协同控制,因此其计算公式如下:

式中
为两个交叉口的距离,单位为m。
(2)周期影响因子:当相邻交叉口经过计算后的最佳周期较为接近时,两者具备较好的协调控制能力。对于两最佳周期相差较小的交叉口,可以将两者的周期调整为相同或者成倍数关系以进行协调控制,其具体公式如下:

式中:
和
分别为相邻交叉口中较大的信号周期和较小的信号周期。通常周期影响因子取值在[0,1]之间且值越大越适合将相邻交叉口划入同一个子区。
(3)交通流影响因子:当相邻交叉口之间存在较大的交通流量时,二者有明显的协调控制趋势;反之,则没有必要进行协调控制,其公式如下所示:

式中
是相邻交叉口主干道的交通流量,单位为
。
最小取值为300,交通流量越大,则越需要将两交叉口划分入同一子区。
(4)交通流离散影响因子:相邻交叉口之间交通流的离散性受到各种交通因素的影响,对于两相邻交叉口,若其之间的交通流的离散程度较小则可将两者划分至同一子区内,其计算公式如下:

式中
为一个交叉口到达另一个交叉口的交通流量,单位为
;
为另一交叉口的交通流量,单位为
。当交通流离散影响因子越大,则越需要将两相邻交叉口划分进同一子区。将以上影响因子应用至前文中的软集合理论及信息量权数法中,得到子区划分结果:

图5 子区划分结果
对于同一子区内的各交叉口,通过Webster最佳周期公式分别计算其最佳周期,取最大最佳周期作为子区的内交叉口的统一周期,以防止交叉口出现周期时长过短车流饱和度过高的情况;之后采用遗传算法对子区内交叉口的信号配时方案进行计算,其结果如下:

图6 配时方案结果
将遗传算法得到的交通配时方案结果与传统的定时控制方案结果进行对比,传统的定时控制方案采用经典Webster计算法,其最佳周期算法与上文中提及的相同,对于绿灯时长的计算,假设在周期内不出现信号灯全红时间,其具体计算公式如下:

式中
为各相有效绿灯时间,
为各相各流向车流的最大饱和度,
为各相的最大饱和度之和,对于经典四相位交叉口
。下图为两种方法计算过后得到的仿真结果进行对比,衡量指标为交叉口的车辆平均延误时间:

图7 仿真结果对比图
由对比结果可见大部分的交叉口在采用遗传算法计算得到的配时方案后,相比于传统的Webster定时算法,对车辆平均延误时间的减少效果更好,更能够缓解城市的交通压力。
本文提出了一种基于智慧灯杆技术的新型智能化道路照明控制系统,设计了多功能智慧灯杆系统中数据在各个主体之间的流动关系架构,将多功能智慧灯杆系统运用在智慧交通的场景中,以系统架构为基础,基于数据协同分析的基础,制定了合理的以智慧灯杆道路照明系统为基础的区域控制策略,建立以位于交叉口的智慧灯杆上信号灯为主要控制对象的控制模型,利用智慧灯杆上的各类感知设备对城市交通车流数据进行采集,应用软集合理论以及信息量权数法对交通路网进行子区划分,对子区进行统一控制;采用遗传算法对子区内交叉口信号灯的配时方案进行优化,以交叉口的车辆平均延误时间作为优化对象,基于一般的遗传算法做出了一定的改进,利用灾变算法来对变量即交叉口信号灯的绿灯时长进行一定约束,保证交叉口信号灯绿灯时间长度符合一定的要求。最后针对上述控制模型选取合适的研究区域,以区域内路网作为仿真对象进行控制模型的建模与仿真,并将计算得到的配时方案应用于智慧灯杆交通灯上,将控制效果与传统的定时控制方法进行比较,证明了本系统能够较为有效地减少路网内的车辆延误时间。
参考文献
[1] 肖辉,李文超,朱应昶,李代雄,方景,高杰.多功能智慧灯杆系统应用研究[J].照明工程学报,2019,30(04):1-5.
[2] 李克强.政府工作报告——2020年5月22日在第十三届全国人民代表大会第三次会议上[J]. 中华人民共和国国务院公报,2020(16):4-12.
[3] 董莹,董鹏,唐猛.我国智慧交通的现状和发展对策研究[J].公路交通科技(应用技术版),2019,15(08):264-266.
[4] 王洪明.我国公路交通事故的现状及特征分析[J]. 中国安全科学学报,2009,19(10):121-126+179.
[5] 贾连胜,周进均.城市主干路拥堵原因分析与改善对策研究——以重庆主城区为例[J].物流工程与管理,2019,41(06):87-88.
[6] 蔡仁丰.智慧灯杆在道路照明改造中的应用[J].智能建筑与智慧城市,2020,(4):29-30.
[7] 蔡仁丰.智慧灯杆在道路照明改造中的应用[J].智能建筑与智慧城市,2020,(4):29-30.
[8] 陈宝光.智慧灯杆在智慧城市中的应用研究[J].数码设计(上),2020,9(1):271-272.
[9] 陈晨.多功能灯杆在城市道路建设中的应用[J].数字通信世界,2020(08):182-183.
[10] 周怡.基于软集合理论的区域交通拥堵分析与城市规划对策研究[D].重庆交通大学,2018.
[11] 城市交通拥堵现状及对策分析[J].科学时代,2014,(3).
[12] 孙慧钧.关于权数与赋权方法分类的探讨[J].东北财经大学学报,2009(04):3-7.
[13] 林丹.基于有权网络子区划分的区域交通协调控制研究[D].南京邮电大学,2017.
[14] 徐建闽,鄢小文,荆彬彬,等.考虑交叉口不同饱和度的路网动态分区方法[J].交通运输系统工程与信息,2017,17(4):145-152.
[15] Brian Wolshon, et al. Analysis of intersection delay under real-time adaptive signal control[J].Transportation Research Part C,1999,7:53-72.
[16] 杨祖元.城市交通信号系统智能控制策略研究[D].重庆大学,2008.
[17] 胡杰烽.城市交叉口交通信号智能控制技术研究[D].电子科技大学,2016.
[18] 马浩钦.基于遗传算法的智能交通灯控制研究[J].电子制作,2019,(24):29-30,75.
[19] 谢军,马万经.信号控制交叉口间的关联性研究[A].全国智能运输系统协调指导小组?山东省人民政府.2008第四届中国智能交通年会论文集[C].全国智能运输系统协调指导小组?山东省人民政府:科学技术部全国智能运输系统协调指导小组办公室,2008:8.
[20] 张丽君.城市交叉口群协调控制方法研究[D].甘肃:兰州理工大学,2019.